Aller au contenu
Lyon Pôle Immo

Lyon Pôle Immo

L'actualité de l'immobilier à Lyon

Menu principal
  • Les prix
    • Lyon
    • Métropole de Lyon
    • Beaujolais
    • Rhône
    • Auvergne-Rhône-Alpes
    • National
    • International
  • Immobilier neuf
  • Immo d’entreprise
    • Bureaux
    • Commerce
    • Locaux d’activités
    • Logistique
  • Urbanisme
  • Crédit
    • L’avis des courtiers
    • L’actualité des taux de crédit immobilier
    • Les taux de crédit immobilier à Lyon et en Auvergne-Rhône-Alpes
  • Location
    • Location
    • Logement social
    • L’indice de référence des loyers
  • Investissement
    • Bourse et actualité des foncières
    • Copropriété
    • Gestion locative
    • Les SCPI
    • Syndics
  • Fiscalité
  • Rénovation
Abonnement

taxe-fonciere-Meilleurtaux-2025

taxe-fonciere-Meilleurtaux-2025

Navigation d’article

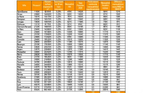
Précédent: Le poids de la taxe foncière ne fait qu’augmenter

Laisser un commentaire Annuler la réponse

Votre adresse e-mail ne sera pas publiée. Les champs obligatoires sont indiqués avec *

Se connecter

Abonnez-vous à notre newsletter

  • L'ACTU PAR VILLE



  1. Anais99 sur Le secteur de l’avenue des Frères Lumière poursuit sa mue04/01/2026

    Mouais... Pas convaincue que ce soit plus plus sûre et agréable

  2. Gadjo sur Les 50 communes les plus peuplées de l’Ain02/01/2026

    Nantua, quasiment seule ville de l'Ain à voir sa population baisseR....

  3. Paulo69 sur Le secteur du logement s’inquiète de l’absence de PLF23/12/2025

    On est pas sorti avec ces....

  4. MICHELE TISSOT sur La plaine aux oedicnèmes inaugurée à Saint-Priest16/08/2025

    TRES BONNE IDEE DE CONCILIER A LA FOIS LA MEMOIRE DE CE LIEU QUI A DRAINE TANT DE TRAVAILLEURS DE…

  5. Joffrey sur Encadrement des loyers : la Métropole veut améliorer le dispositif23/06/2025

    C'est plutôt une bonne chose, l'encadrement des loyers à Lyon et dans les grandes villes concernées (zones tendues) ne doit…

Vous avez peut-être raté

immeubleneuf1536
  • Abonnés
  • Financement
  • Fiscalité
  • Investir dans la pierre
  • L'actualité du neuf
  • L'avis des courtiers

Le dispositif Jeanbrun salué par l’APIC

Sylvain d'Huissel 22/01/2026
Mions-em2c-Delta-Service-Location
  • Abonnés
  • Bureaux
  • Immo d'entreprise
  • Locaux d'activités

Mions : un nouveau bâtiment mixte pour DSL

Sylvain d'Huissel 22/01/2026
caroline-arnould
  • Abonnés
  • Financement
  • L'avis des courtiers
  • Les taux

Crédit immobilier : 2026 sera «l’année de la consolidation»

Sylvain d'Huissel 22/01/2026
immeuble31-1536
  • Abonnés
  • Financement
  • Les taux

Les taux de crédit immobilier ont remonté fin 2025

Sylvain d'Huissel 21/01/2026
Copyright © Lyon Pôle Immo. Tous droits réservés | MoreNews par AF themes
Qui sommes nous ? / Avertissement légal / Contact /
Conditions générales de vente / Partenaires /
Règlement général sur les données personnelles
Nous utilisons des cookies pour vous garantir la meilleure expérience sur notre site. Si vous continuez à utiliser ce dernier, nous considérerons que vous acceptez l'utilisation des cookies.